登录
第三方登录
科普英山|你能抗住多少级的风?科学计算你的“抗风战斗力”
湖北日报客户端 2025-04-17 11:29:07

关于1级到12级风的区分方法,还依稀记得小时候课文里的《风级歌》顺口溜(版本略有差异):零级烟柱直冲天;一级青烟随风偏;二级轻风吹脸面;三级叶动红旗展;四级枝摇飞纸片;五级小树随风弯;六级举伞有困难;七级迎风走不便;八级风刮树枝断;九级屋顶飞瓦片;十级拔树又倒屋;十一二级陆上很少见。

最近,北京等地刮起了 13级大风,风速高达 37~41/(相当于动车全速行驶!),是北京有史以来最强风之一。到底风有多大?小编在撰写这篇文章的时候,就能感觉到楼在摇晃!

朋友圈里除了晒“风中凌乱”的发型(图1),还流传着各种灵魂拷问。

图1 都是谁在风中凌乱

“北京的大风,能把人吹飞吗?”“我100斤,会不会被吹跑?”“为什么瘦子抱柱子,胖子稳如泰山?”“站在高楼侧面,感觉风在‘吸’我,是幻觉吗?”

今天,我们就用“物理+数学的简单方法,帮你算出自己的“抗风战斗力”,顺便揭秘:风到底是在你,还是在你?

一、风的推人术”——正面风压冲击

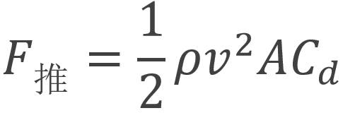
1.风压公式:风的力量有多大?

风推你的力量,可以用 风压公式 计算:

其中,ρ:空气密度(≈1.225kg/m³,相当于一瓶矿泉水洒在空中);v:风速(13级风取40 m/s,比F1赛车还快!);A:你的迎风面积(正面投影,后文教你算);Cd:风阻系数(站立约1.2,穿蓬松羽绒服可能飙升到1.8!)。

举个栗子:一个身高1.7米、体重70公斤的普通青年,迎风面积约 0.8 m²(相当于半扇门),那么受到的风推力为:

翻译成人话:相当于一个 96公斤的壮汉猛推你胸口!

2.你的体重能抗住吗?——稳如泰山的临界条件

风想吹跑你,必须克服你的体重产生的摩擦力。简单来说:

抗风下限:体重≥F推 /摩擦系数。

如果橡胶鞋底与水泥地的摩擦系数≈0.6,那么被风吹走的临界体重=96/0.6≈160公斤。

结论:除非你身背两袋水泥,否则13级风下,光靠体重绝对稳不住!

现实抗风生存策略: 降低重心(蹲下→迎风面积减半,风力暴跌);抱住电线杆(摩擦力暴增,参考树懒抱树);穿紧身衣(减少 Cd,避免变成“人形风筝”)(图2)。

图2 根据体重,“各就各位”

二、风的吸星大法”——侧面低压抽吸

1.伯努利效应:为什么高楼旁的风吸人”?

你以为风只会推?错了!高速气流会变身吸尘器”。

当风擦过建筑侧面时,流速飙升 → 气压骤降 → 周围高压空气把你“挤”向低压区。

那位看官说了,风力大不是气压高吗?怎么“气压骤降”了呢?这里就不得不提到“伯努利定律”。简单来说就是,“流体(如空气、水)速度越快的地方,压力越小;速度越慢的地方,压力越大。”如果不信,那你可以简单地做个实验:左右手各拿一张纸,平行排列,中间留个狭窄缝隙,然后沿着缝隙用力吹起。你想,这两张纸会被吹开还是贴近?眼见为实,这两张纸在气流作用下向中间吸引(图3)。这就是“狭管效应”。

图3 气流速度高的地方,压力低

伯努利定律的数学表达公式长这样:

其中,P:静压力势能(比如空气对你的“挤压感”);

动能(风的“冲击力”);ρgh:重力势能(高空和地面压力不同,但短距离可忽略)。说得简单点儿,伯努利定律就是一个能量守恒定律。

在同一“海拔”高度h不变的情况下,伯努利定律的数学表达公式简化版:

可见,速度 v 变大,压力 P 就会变小!

根据上述伯努利定律可以推算一个人受到的吸力:

同样的40 m/s风,吸力计算:

=0.5×1.225×402×0.8≈784牛顿(≈80公斤力)。

翻译成人话:相当于80公斤的隐形势力把你往马路中间吸拽!这谁能受得了啊!

2.为什么侧面更危险?

推力和吸力的对比就好有一比:正面风是“明枪”(你能看到并抵抗);侧面吸力是“暗箭”(毫无防备,容易失衡)。

真实案例:2023年东京某车站,一名女子因强风被吸向列车轨道(人体成了“创可贴”),所幸被栏杆卡住(报道称风速仅30m/s)。

这也是为什么禁止站立在离高速运行的火车(其实包括任何东西)太近的地方的原因——高速运动产生的吸力会把人吸到火车上!

三、抗风战斗力排行榜

1.不同体型的抗风数据

网上已经总结了不同体型的人的抗风能力,参见下表。

为什么瘦子更容易起飞?体重**-面积比**是关键。50 kg的萌妹与100 kg的壮汉相比,前者每公斤体重受到的风力是后者的 2倍。

暴击结论:体重<120 kg,13级风下,不找掩体=放飞自我;瘦子生存法则:把自己绑在路灯杆上(图3)。

2.抗风姿势加成表

有人已经总结了不同姿势的等效体重加成能力,参见下表。

灵魂建议趴地>蹲下>站立,参考企鹅对抗强风的标准流程。

四、都市抗风生存指南

高危区域:楼间窄道(“狭管效应”风速+30%);广告牌下(风压+碎片攻击双重Buff);高铁站台(伯努利吸力+列车风叠加)。

保命装备:低配版——书包里装砖头(增加配重);高配版——登山扣+安全带(把自己锁在栏杆上);土豪版——直接住进防风掩体(比如银行金库)。

五、结语:尊重自然,科学抗风

下次天气预报说 阵风13,请自觉:

★掏出体重秤,确认自己是否属于“易飞人群”。

★远离高楼间隙,避免变身“人体风筝”。

★如果必须出门,建议学习螃蟹—— 横着走减少迎风面积!

毕竟,在大自然面前,物理学才是终极生存法则

(注:本文计算已简化,实际风力受湍流、阵风等因素影响,请勿主动挑战13级风!

除了上述体外的风之外,人身体内也有各种风——伤风、痛风、中风、抽风,而且更可怕。延伸阅读,请关注我的个人微信公众号“医用生物力学”的文章:重整四风”──伤风、痛风、中风、抽风

(来源:中国科普网)

责任编辑:段冕
点赞 0
收藏
已输入0个字
全部评论
  • 回复
    • 查看全部{{ item.replyCount }}条回复> 查看更多回复>
    • 查看更多回复>
查看更多评论 没有更多评论了
电子报
  • 湖北日报
  • 楚天都市报
  • 农村新报
政情
精彩推荐
  • 湖北日报客户端
  • 湖北日报官方微信
  • 湖北日报官方微博