登录
第三方登录
全省县市区排名第二!阳新产投应急转贷纾困工作交出亮眼成绩单
湖北日报客户端 2026-01-06 14:34:01

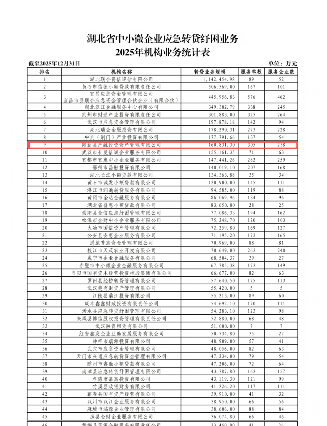
湖北日报客户端讯(通讯员骆涛)就在刚刚出炉的《湖北省中小微企业应急转贷纾困业务2025年度统计表》中,阳新产投作为优化营商环境的核心金融服务窗口,为238家中小微企业提供应急转贷服务305次,转贷续贷资金规模16.08亿元,位于全省县(市、区)第二,在“十四五”收官之年,以实实在在的金融支持助力县域经济高质量发展,交出了一份合格的答卷。

这份亮眼成绩离不开阳新产投提早谋划密织的纾困服务网。作为全省首个获得省级转贷纾困基金阶段性配资的地区性应急转贷公司,早早就构建起了覆盖全县重点园区、重点行业的纾困服务网络,精准对接制造业、服务业、农业等领域中小微企业的续贷周转需求。累计帮助企业减少高息拆借支出超6392万元,成为中小微企业资金周转的“及时雨”与“稳定器”。

为大幅提升转贷效率解企业燃眉之急,该公司持续优化服务流程、简化审批环节、压缩办理时限、建立绿色通道,“上门对接+银企联动”的服务新模式,最快1天内即可完成对接、审核、放款全流程,用实际行动诠释了“阳新产融速度”。

在积极履行国企担当、全力为县域中小微企业“输血供氧”的同时,阳新产投深知,稳健运营是行稳致远的基石。该公司始终将风险防控放在首位,以“零风险”的严格标准完善风控体系,强化监管流程,确保每一笔纾困资金都放得下、管得住、收得回,为企业提供可持续的金融支持。

面对“十五五”开局的新形势与新要求,阳新产投将以“争做全省县级应急转贷行业标杆”为目标,深化政策宣传,实现“银企共知、降费共赢”,让红利惠及更多市场主体;强化风险管控,探索银企合作新模式,提升防控精准性与有效性;优化服务质效、拓展服务领域,增强企业满意度与获得感,为我县冲刺全国县域经济百强、加快建成黄石市域副中心城市做出应有贡献。

责任编辑:胡凌露
点赞 0
收藏
已输入0个字
全部评论
  • 回复
    • 查看全部{{ item.replyCount }}条回复> 查看更多回复>
    • 查看更多回复>
查看更多评论 没有更多评论了
电子报
  • 湖北日报
  • 楚天都市报
  • 农村新报
政情
精彩推荐
  • 湖北日报客户端
  • 湖北日报官方微信
  • 湖北日报官方微博