登录
第三方登录
市教育局公示!谷城这些老师上榜!
湖北日报客户端 2024-09-10 09:03:11
9月3日
市教育局公示了

2024年度中小学“教坛新秀”“骨干教师”

“骨干班主任(主班教师)”评审结果



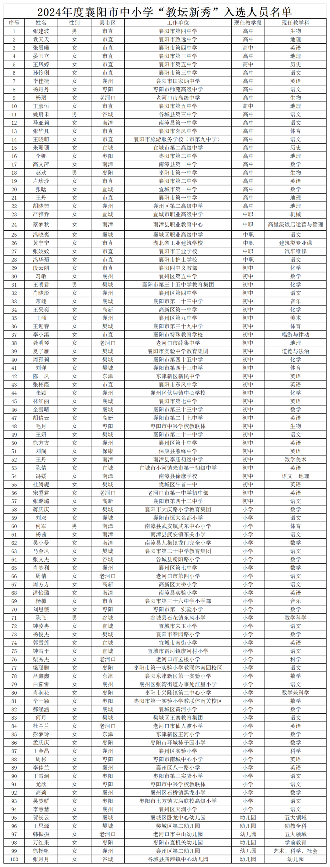
根据《市教育局关于开展2024年度中小学“教坛新秀”“骨干教师”和“骨干班主任(主班教师)”评审工作的通知》精神,在教师自荐、所在学校(单位)评议推荐、县级教育行政部门考核推荐的基础上,市教育局成立评审委员会,对申报对象的相关材料进行了评审。经研究,确定襄阳四中张建波等400名同志为襄阳市2024年度中小学“教坛新秀”“骨干教师”和“骨干班主任(主班教师)”评审入选人员(名单附后),现予以公示。


公示时间为2024年9月3日—7日


公示期间如有异议,可通过来电、来信、来访等方式向市教育局教师管理科反映。反映情况要客观真实,以便调查核实。    


地址:襄阳市襄城区运动路93号,襄阳市教育局教师管理科1513办公室    


邮箱:xyjszgrd@163.com  

联系电话:0710-3518702


襄阳市教育局

2024年9月3日


2024年度襄阳市中小学“教坛新秀”入选人员名单



2024年度襄阳市中小学“骨干教师”入选人员名单



2024年度襄阳市中小学“骨干班主任(主班教师)”入选人员名单


来源:襄阳市教育局

责任编辑:冷晶晶
点赞 0
收藏
已输入0个字
全部评论
  • 回复
    • 查看全部{{ item.replyCount }}条回复> 查看更多回复>
    • 查看更多回复>
查看更多评论 没有更多评论了
电子报
  • 湖北日报
  • 楚天都市报
  • 农村新报
政情
精彩推荐
  • 湖北日报客户端
  • 湖北日报官方微信
  • 湖北日报官方微博