登录
第三方登录
千万不要舔冬天的铁栏杆!有人舔了,然后……
科普中国 2024-01-23 16:18:39
有这么一句传言,在冬天气温非常低的时候,“室外的铁栏杆是甜的”。如果有些网友真的尝试了(请大家不要真的尝试),大概会发现,自己的舌头被粘在铁栏杆上下不来了。


这是因为呀,人的舌头表面有一层水(唾液),当舌头接触寒冷的铁栏杆时,这层水会结冰,将舌头和栏杆粘在一起。在夏天(或者其它时候)你吃雪糕的时候也可以有类似的体验。

那么到现在我们可以得到一个结论:水只要到了凝固点以下,就会结冰。

这个结论对不对呢?其实是不对的。相反,我们会发现,在凝固点以下,冰的表面也一定会有一层水。

下面我们先讨论正常的情况。

水-冰相变


还记得中学时学过,液态和固态是水的两种物态,他们可以相互转化,水和冰之间的转化就是相(xiàng)变

所谓的相,指的就是被一定边界包围, 具有确定而均匀的物理和化学性质的系统或系统的一部分。

例如液态水具有确定而均匀的物理和化学性质,是一个相;而固态水,也就是冰,和液态水的性质不一样,因此是另外的相,此外,根据冰中水分子的排列方式不同,自然界的冰也存在不同的相。

为什么会发生相变?为什么水会结冰?

图源 Pixabay

我们知道,自然界的物质有自发地达到能量最低状态的倾向,在低温下,冰相对于水是能量更低的状态,因此水在低温下会结冰。

但是这里所说的能量并不是水或者冰的内能,在保持温度和压强恒定的情况下,系统的吉布斯自由能

吉布斯自由能是温度和压强的函数,水和冰这两种相有着不同的函数形式。在一个特定的温度压强下,平衡态系统只能处在吉布斯自由能较低的那个相。两个相的吉布斯自由能相等时的温度和压强就是相变发生的条件。

吉布斯自由能随温度变化示意图,平衡态下吉布斯自由能低的相可以存在,两相吉布斯自由能相等时即为相变点

如果我们只考虑一个标准大气压的条件,那么水的凝固点就是 0℃,低于这个温度,冰的吉布斯自由能更低,因此平衡态下水这种物质以冰的形态存在,高于这个温度,水的自由能更低,液态水可以存在。在 0℃,冰和水可以共存。

温度和压强事实上是两个独立的变量,但是当人们加上两相吉布斯自由能相等这样一个限制条件之后,相当于把温度压强的取值限制在了二维空间的一条曲线上。


我们知道水还有气相,也就是我们所熟知的水蒸气。水蒸气可以通过凝华、升华与冰相互转化,也可以通过液化、蒸发与液态水相互转化,这也都是相变。

发生相变的温度和压强取值由参与相变的两相吉布斯自由能相等确定,这样我们确定了三条曲线,分别是气相与液相的共存线称为汽化线或液化线,固相与液相的共存线为溶解线或凝固线,气相与固相的共存线为升华线或凝华线,三条线相交于三相点,三相点上三相共存有确定的温度和压强。

水的相图

压力导致冰的熔化


我们仔细观察水的相图,注意到水和冰之间的共存线,也就是溶解线,斜率是负的。这说明随着压强增大,冰的熔点逐渐降低

这一点在我们生活中就有应用。滑冰运动员穿着冰刀能够在冰上高速运动,是因为冰刀与冰面的接触面积很小,在重力的作用下形成了很大的压强,导致冰刀下方局部冰面熔点降低发生熔化,形成一层水,这层水起到降低摩擦力的作用,让运动员可以在冰上高速运动。

图源 Wikipedia

那么问题来了,冰刀下面的冰的熔点可以降低多少度,以至于在冰天雪地里,冰可以熔化?

这时候我们需要引入描述一级相变的克拉柏龙方程:


其中T, p 分别是两相共存曲线上的温度的压强,vwvi 分别是水和冰的单位质量的体积(就是密度的倒数),λ 是冰的熔解热,即单位质量的冰熔化成水所放出的热量。

我们代入数据,在一个标准大气压下,水的熔点是273.15K,vi=1.0907x10-3m3/kg,vw=1.00013x10-3m3/kg,熔解热λ=3.35x105J/kg这样得到


对于体重 75kg 的滑冰者,假设冰刀长度是 10cm,宽度是 1.5mm,那么冰刀施加在冰面上的压强不会超过 50 个大气压,按照线性关系进行估算,冰的熔点降低约 0.4℃,查表可知在 50 个大气压下的冰的熔点约-0.37℃,我们的估算是可靠的。

图源 Pexels

这种程度的熔点的降低相对于零下几度甚至十几度的冰天雪地实在是有些小了,所以真正导致冰表面有一层水的并不是冰刀的压强,而是...

预熔化


事实上,冰的表面就是会有一层水,即使是在温度低于熔点的情况下。早在 1842 年,法拉第就通过实验研究了这个现象。而直到今天,人们依然在探索这层水的形成机理以及这层水可能存在的最低温度。我们把这种熔点之下,固体表面存在一层液态物质的这一现象称为预熔化

既然是研究水,我们不妨先考虑真正的液态水,以及构成它的分子:水分子。我们知道水分子中一个氧原子通过共价键结合两个氢原子,还可以借助氢键结合另一个水分子的两个氢原子,因此在液态水中,水分子的排列是长程无序的,但是对于一个水分子附近的一小块区域,每个氧原子总是被四个氢原子围绕着。

氢键示意图 | 图源 Wikipedia

上面的讨论只适用于大量水的内部,水的表面也是这样吗?

物理学家外尔(Weyl)——不是那个外尔费米子的外尔——提出了这样的假设:在水分子之间的电磁相互作用下水分子倾向于使表面没有质子,氧位于最外层,而氢总是朝液体内部,这样也就形成了一个“电荷双层”,外面是负电荷,里面是正电荷。

液态水的表面氧原子倾向于排在外侧,氢原子倾向于排在内侧,形成电荷双层

于是我们可以进行推断,冰和水是同一种分子,那么冰的表面也倾向于使氧原子分布在外侧而质子位于内侧。但是,由于冰是固体,不像液体那么容易改变表面分子的排列方式,为了降低表面能,冰的表面必须存在一层水膜,这层水膜提供从有序的晶格结构到相对无序的“电荷双层”之间的过渡。这部分水膜的能量会比相同条件下等量的水要高,但却足以抵消平整表面所产生的表面能。

加压,还是加压


上面外尔的分析定性地回答了为什么冰的表面会有一层水,后续的研究人员又试图从另一个角度出发,用定量的方式回答这个问题。

这位叫做 Makkonen 的物理学家仍然认为是压强导致冰表面的熔化,只不过这个压强是冰自己给自己加的


位于固体表面的分子只受到固体一侧分子的吸引力,另一侧没有分子,因此不受力,大气分子会提供一个力,但这个力太小了,我们就不考虑了。表面分子作用力的不平衡会形成一个将表面分子向内拉的力,这就是冰自己给自己加压的压力来源。

冰通过分子间相互作用给表面施加压强

可以利用兰纳-琼斯势来计算分子相互作用带来的压强


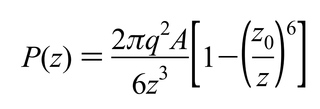
其中 q 是每单位体积的分子数,A 是吸引力常数,z₀ 是块体材料中分子之间的平衡距离。这个公式计算的是相距为 z 的两个分子层之间的相互作用。

将每一层分子对表面分子的相互作用都加起来,得到  


其中γ是冰的表面能,对 n 的求和可以计算出约等于 0.2,于是得到


代入冰的数据,冰和真空的表面能γiv=75mJ/m2,冰和水的表面能γiw=29mJ/m2z₀=2.74x10-10m,计算出冰-水界面的压强要比冰-真空界面的压强小 180MPa,而这样大的压强足以使熔点降低 13℃。

于是我们知道,如果冰表面没有水,那么分子间相互作用会使表面分子感受到更大的压强,从而使表面发生熔化,而表面熔化之后这部分水降低了表面能,降低了压强,于是内部的冰不再熔化。


所以冰的表面一定会有一层水,这层水不会结冰,里面的冰也不会熔化。

现在我们回到文章开始的那个问题,既然冰上一定有一层水,而舌头上的水遇到铁栏杆会结冰,为什么这里的冰表面没有水呢,为什么舌头会粘在铁栏杆上,却不是像冰刀一样滑动呢?

这个问题留给读者评论区讨论吧~

责任编辑:唐梦琳
点赞 0
收藏
已输入0个字
全部评论
  • 回复
    • 查看全部{{ item.replyCount }}条回复> 查看更多回复>
    • 查看更多回复>
查看更多评论 没有更多评论了
电子报
  • 湖北日报
  • 楚天都市报
  • 农村新报
政情
精彩推荐
  • 湖北日报客户端
  • 湖北日报官方微信
  • 湖北日报官方微博